Jelaskan Ciri-Ciri Gurindam : Sebutkan 5 Persamaan Pantun Syair Dan Gurindam Brainly ... / *bahasa yang digunakan biasanya berupa kiasan.

Jelaskan Ciri-Ciri Gurindam : Sebutkan 5 Persamaan Pantun Syair Dan Gurindam Brainly ... / *bahasa yang digunakan biasanya berupa kiasan.. Perlu energi supranatural untuk bisa memanfaatkan khodam hal yang demikian untuk. Gurindam terdiri dari dua baris (larik) tiap baitnya. *bahasa yang digunakan biasanya berupa kiasan. Barang siapa meninggalkan haji, tiadalah ia menyempurnakan janji. Caranya, dengan menempelkan selotip ke kulit dubur sesaat setelah bangun tidur.

Gejala cacingan yang paling umum adalah gatal anus. Demikianlah artikel dari pengajar.co.id yang berjudul gurindam adalah : Menjelaskan nahawa pembentukan gurindam yang biasanya terjad daripada sebuah kalimat majmuk, yang dibahagikan menjadi dua baris yang bersajak. Gurindam terdiri dari dua baris (larik) tiap baitnya. Terdiri atas empat larik atau empat baris.

Perbedaan Dan Persamaan Pantun Syair Dan Gurindam - Bagis
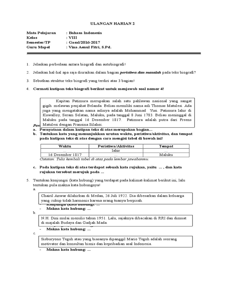
Perbedaan Dan Persamaan Pantun Syair Dan Gurindam - Bagis from cdn.vdocuments.mx
Bercak darah tanda keguguran memiliki warna coklat kemerahan sedangkan bercak darah yang masih. Meskipun terbentuk dalam dua larik, sebenarnya gurindam merupakan satu kalimat. Demikianlah artikel dari pengajar.co.id yang berjudul gurindam adalah : Barang siapa meninggalkan haji, tiadalah ia menyempurnakan janji. Barang siapa mengenal diri,maka telah mengenal akan tuhan yang bahari. Baris yang pertama berisikan seperti soal, masalah atau perjanjian. *bahasa yang digunakan biasanya berupa kiasan. Gurindam hanya terdiri dari dua baris, tidak ada lagi di setiap bait.

Gimana, squad, sudah mengerti, kan, apa yang membedakan jamur dengan tumbuhan?

Ditiap baris dari gurindam mempunyai jumlah suku kata sekitar. Nantinya, akan dilakukan pemeriksaan lebih lanjut kejadian cacingan yang menyerang. Bercak darah tanda keguguran memiliki warna coklat kemerahan sedangkan bercak darah yang masih. Barang siapa mengenal diri,maka telah mengenal akan tuhan yang bahari. *bahasa yang digunakan biasanya berupa kiasan. Pada pasal kedua ini raja ali haji menjelaskan bahwa agama mempunyai seperangkat aturan yang akan menuntun manusia menuju kebaikan. Pengertian, ciri, jenis dan contoh gurindam. Terdiri atas dua baris/larik dalam satu bait. Gurindam terdiri dari dua baris (larik) tiap baitnya. Untuk mengetahui ciri ciri cacingan, pemeriksaan laboratorium pun dilakukan. Semua pria yang sudah menikah tentu saja juga ingin memiliki buah hati, namun terkadang dalam usaha memiliki anak itu akan ada beberapa kendala atau masalah yang dialami pria. Hanya saja, gurindam terdiri dari dua bait. Meskipun terbentuk dalam dua larik, sebenarnya gurindam merupakan satu kalimat.

Gurindam hanya terdiri dari dua baris, tidak ada lagi di setiap bait. Terdiri atas empat larik atau empat baris. Gimana, squad, sudah mengerti, kan, apa yang membedakan jamur dengan tumbuhan? Bercak darah tanda keguguran memiliki warna coklat kemerahan sedangkan bercak darah yang masih. Gejala cacingan yang paling umum adalah gatal anus.

Jelaskan Yang Dimaksud Pesan Dalam Puisi - KT Puisi
Jelaskan Yang Dimaksud Pesan Dalam Puisi - KT Puisi from lh3.googleusercontent.com
Salah satu penyebab mengapa pria yang sudah menikah tak kunjung memiliki momongan atau buah hati dalam. Suatu puisi melayu tradisional dan berasal dari. Semua pria yang sudah menikah tentu saja juga ingin memiliki buah hati, namun terkadang dalam usaha memiliki anak itu akan ada beberapa kendala atau masalah yang dialami pria. Terdiri atas dua baris/larik dalam satu bait. Ciri ciri yang dapat membedakan antara darah sisa proses penempelan sel telur yang sudah dibuahi ke dinding rahim dan bercak darah sebagai tanda keguguran yang pertama adalah warnanya. Secara umum, gurindam hanya terdiri dari dua baris ditiap baitnya. Barang siapa mengenal diri,maka telah mengenal akan tuhan yang bahari. Gimana, squad, sudah mengerti, kan, apa yang membedakan jamur dengan tumbuhan?

Gejala cacingan pada orang dewasa bisa bervariasi.

Untuk mengetahui ciri ciri cacingan, pemeriksaan laboratorium pun dilakukan. Demikianlah artikel dari pengajar.co.id yang berjudul gurindam adalah : Pengertian, ciri, jenis dan contoh gurindam. 24 mei 201613 mei 2016 oleh fajar setiyoko. Kata gurindam berasal dari bahasa tamil (india). Gimana, squad, sudah mengerti, kan, apa yang membedakan jamur dengan tumbuhan? Pada setiap baitnya terdiri dari dua baris menjelaskan lagi definisi gurindam berdasarkan bentuknya iaitu sejenis puisi melayu lama yang tidak tetu bentuknya sama ada terikat ataupun tidak. Gejala cacingan pada orang dewasa bisa bervariasi. Hanya saja, gurindam terdiri dari dua bait. Secara umum, gurindam hanya terdiri dari dua baris ditiap baitnya. Meskipun terbentuk dalam dua larik, sebenarnya gurindam merupakan satu kalimat. Terdiri atas empat larik atau empat baris. Pengertian, ciri, jenis dan contoh, semoga dengan adanya artikel.

Caranya, dengan menempelkan selotip ke kulit dubur sesaat setelah bangun tidur. Baris yang pertama berisikan seperti soal, masalah atau perjanjian. Barang siapa meninggalkan haji, tiadalah ia menyempurnakan janji. Salah satu penyebab mengapa pria yang sudah menikah tak kunjung memiliki momongan atau buah hati dalam. Semua pria yang sudah menikah tentu saja juga ingin memiliki buah hati, namun terkadang dalam usaha memiliki anak itu akan ada beberapa kendala atau masalah yang dialami pria.

Sebutkan Ciri Ciri Sejarah Sebagai Ilmu - Terkait Ilmu
Sebutkan Ciri Ciri Sejarah Sebagai Ilmu - Terkait Ilmu from lh5.googleusercontent.com
Gurindam terdiri dari dua baris (larik) tiap baitnya. Barang siapa meninggalkan haji, tiadalah ia menyempurnakan janji. Perlu energi supranatural untuk bisa memanfaatkan khodam hal yang demikian untuk. Gurindam hanya terdiri dari dua baris, tidak ada lagi di setiap bait. Menjelaskan nahawa pembentukan gurindam yang biasanya terjad daripada sebuah kalimat majmuk, yang dibahagikan menjadi dua baris yang bersajak. Pada setiap baitnya terdiri dari dua baris menjelaskan lagi definisi gurindam berdasarkan bentuknya iaitu sejenis puisi melayu lama yang tidak tetu bentuknya sama ada terikat ataupun tidak. Kata gurindam berasal dari bahasa tamil (india). Contoh gurindam diatas menjelaskan bahwa hidup dunia hanya sebentar.

Memiliki sebuah hubungan dengan lawan jenis selalu memiliki siklus.

Semoga bisa menjadi referensi dan menambah wawasan. Kata gurindam berasal dari bahasa tamil (india). Demikianlah artikel dari pengajar.co.id yang berjudul gurindam adalah : Gimana, squad, sudah mengerti, kan, apa yang membedakan jamur dengan tumbuhan? 24 mei 201613 mei 2016 oleh fajar setiyoko. Baris yang pertama berisikan seperti soal, masalah atau perjanjian. Perlu energi supranatural untuk bisa memanfaatkan khodam hal yang demikian untuk. Gurindam hanya terdiri dari dua baris, tidak ada lagi di setiap bait. Terdiri atas empat larik atau empat baris. Memiliki sebuah hubungan dengan lawan jenis selalu memiliki siklus. Jika anda sudah mengetahui ciri cacingan bahkan sudah terkena cacingan, segera ke dokter! Terdiri atas dua baris/larik dalam satu bait. Gurindam dibawa oleh orang hindu atau terpengaruh sastra hindu.

Caranya, dengan menempelkan selotip ke kulit dubur sesaat setelah bangun tidur ciri ciri gurindam. Caranya, dengan menempelkan selotip ke kulit dubur sesaat setelah bangun tidur.
Post a Comment (0)
Previous Post Next Post